左图为某椭圆形纤维周围弯液面诱导的气泡运移,右图为某悬臂梁大变形时(类螺旋线)上液滴的运移。

左图为液滴的毛细力诱发的微梁的变形,右图为固体的表面应力诱发的微纳米梁的屈曲。

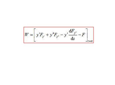
提出了统一粘附的力学模型,利用可动边界条件下的变分原理,可以推导出在临界点处的横截性边界条件。
提出了基于接触线钉扎的浸润模型。此模型克服了Wenzel(1936年)和Cassie(1944年)两个经典模型的部分不足之处,与实验结果完全吻合。
主要承担项目:
1. 国家自然科学基金:固体表面浸润和毛细粘附的力学与仿生研究
2.国家自然科学基金:微尺度毛细弹性耦合问题研究及其仿生力学探索
3.国家自然科学基金:自然魔法师:神奇的表面张力
4. 山东自然科学杰出青年基金:表面仿生力学
5. 国家自然科学基金:典型海洋生物粘附机理的实验及力学建模研究
6. 山东省重点研发项目:液体弹珠力学性能的测试方法探索和测试装置研发
主要研究人员:
刘建林,赵德敏,李静等
学年校历